

Three-Channel Piezo Controller
MDT630B
Three-Axis Flexure Stage with
Differential Micrometers Installed


This bundle consists of the MAX302(/M) 3-Axis NanoMax Flexure Stage, three DRV3 Differential Micrometers, and the MDT693B Three-Channel Piezo Controller at a savings over purchasing these items separately. Together, these items provide local and remote control of the position of our MAX302 NanoMax stage along X, Y, and Z with sub-micron resolution. Each axis has a maximum travel range of 4 mm. The DRV3 differential micrometers provide 4 mm of coarse travel and 300 µm of fine travel, with a calculated fine resolution of 100 nm. The embedded piezo elements provide an additional 20 µm of fine travel.
This bundle includes three SMC cables, three SMC-to-BNC adapters (MDC40211), and a region-specific power cord selected at the time of the order.
MAX302 3-Axis NanoMax Flexure Stage
Designed for alignment applications requiring sub-micron resolution, the patented flexure design of the MAX302 ensures low crosstalk, high stability, and long-term reliability. This stage is compatible with our entire family of flexure stage accessories. In a typical multi-axis stacked stage, touching one of the two axes that are not referenced to "ground" will result in unwanted motion within the assembly. Since each of the axes in a NanoMax stage are coupled directly to the base of the stage, these adverse effects are eliminated. For more information, please see the full MAX302 presentation.
DRV3 Differential Micrometer
The DRV3 features two large knobs for coarse and fine adjustment. The coarse adjuster knob provides 500 µm/rev over a 4 mm range, while the fine adjuster knob provides 50 µm/rev over a 300 µm range. The calculated fine drive resolution is 100 nm. The rubber grip on the fine adjuster knob reduces heat transfer when making small adjustments, improving stability. For more information, please see the full DRV3 presentation.
MDT693B Three-Channel Open-Loop Piezo Controller
The MDT693B piezo controller features three precise, low-noise, independently controllable output channels and is capable of supporting the MAX302's absolute maximum control voltage of 75 V. The control voltage can be modified using rotary knobs on the front panel and by providing an external signal through BNC or USB 2.0. For more information, please see the full MDT693B presentation.
| Item # | MAX302(/M) | 
|---|---|
| General Specifications | |
| Travel per Axis | 4 mm | 
| Load Capacity | <1.54 lbs (<0.7 kg) Recommended 2.2 lbs (1 kg) Max  | 
| Thermal Stability | 1 µm/°C | 
| Deck Height | 2.46" (62.5 mm) | 
| Optical Axis Height | 2.95" (75 mm) | 
| Weight | 1.65 lbs (0.75 kg) | 
| Piezo Specifications | |
| Piezo Voltage Range | 0 - 75 V | 
| Piezo Travel Range | 20 µm +0.2 µm / -0.0µm | 
| Piezo Bidirectional Repeatability | 0.2 µm | 
| Piezo Absolute On-Axis Accuracy | 1.0 µm | 
| Resonant Frequency | 375 Hz (No Load) 200 Hz (275 g Load) 150 Hz (575 g Load)  | 
| Arcuate Cross Talk | |||
|---|---|---|---|
| As a Function of X-Axis Positiona | As a Function of Z-Axis Positionb | ||
| X-Axis Position | Arcuate Motion in Z-Axis  | 
Z-Axis Position | Arcuate Motion in X-Axis  | 
| 0.0 mm | 80.0 µm | 0.0 mm | 57.1 µm | 
| 0.5 mm | 45.0 µm | 0.5 mm | 32.1 µm | 
| 1.0 mm | 20.0 µm | 1.0 mm | 14.3 µm | 
| 1.5 mm | 5.0 µm | 1.5 mm | 3.6 µm | 
| 2.0 mm | 0.0 µm | 2.0 mm | 0.0 µm | 
| 2.5 mm | 5.0 µm | 2.5 mm | 3.6 µm | 
| 3.0 mm | 20.0 µm | 3.0 mm | 14.3 µm | 
| 3.5 mm | 45.0 µm | 3.5 mm | 32.1 µm | 
| 4.0 mm | 80.0 µm | 4.0 mm | 57.1 µm | 
| Item # | DRV3 | 
|---|---|
| Travel Range | Coarse: 4 mm (0.16") When Used with MAX302c Fine: 300 µm  | 
| Translation per Revolution | Coarse: 500 µm/rev Fine: 50 µm/rev  | 
| Resolution | Fine: 100 nm (Calculated) | 
| Item # | MDT693B | 
|---|---|
| Output Specifications | |
| Number of Channels | 3 | 
| Connectors | BNC (One BNC-to-SMC Adapter per Channel Included)  | 
| Output Voltage | 0 - 75 V, 0 - 100 V, or 0 - 150 V (Selected by Switch on Rear)  | 
| Output Voltage Resolution When Using Knobs  | 
1.1 mV (for 75 V Output Voltage Setting) 1.5 mV (for 100 V Output Voltage Setting) 2.2 mV (for 150 V Output Voltage Setting)  | 
| Output Current (Max) | 60 mA | 
| Output Noised | 1.5 mV (RMS) ~9.9 mV (Peak-to-Peak)  | 
| Output Impedance (Max) | 150 Ω, 1.0 nF | 
| Load Impedancee (Min) | 2.5 kΩ | 
| Bandwidth (-3 dB) | 9 kHz (No Load, Small Signal) 8.5 kHz (No Load, 150 Vpp)f 200 Hz (1.4 µF Piezo, 150 Vpp)f  | 
| Bandwidth Stability (-3 dB) | <0.01% Over 5 Hours | 
| External Control through BNC | |
| Input Voltage | 0 - 10 V | 
| Input Impedance | 10 kΩ | 
| Input Gain | 7.5 V/V ± 5% (for 75 V Output Voltage Setting) 10 V/V ± 5% (for 100 V Output Voltage Setting) 15 V/V ± 5% (for 150 V Output Voltage Setting)  | 
| Output Voltage Resolution When Using BNC  | 
Limited by Noise of External Voltage Source | 
| Scan Trim Gain Adjustment | 80% to 120% of Sum of Master Scan External Voltage and Offset from Rotary Adjustment Knob  | 
| External Control through Command Line | |
| Physical Interface | Female Type B USB 2.0 Connector | 
| Digital-to-Analog Resolution | 16-Bit, 2.75 mV | 
| Analog-to-Digital Resolution | 16-Bit, 3.0 mV | 
| Physical Specifications | |
| Display Type | 7-Segment LED with Four Digits | 
| Display Resolution | 0.1 V | 
| Enclosure Size | 12.18" × 4.15" × 8.55" (309.4 mm × 105.5 mm × 217.1 mm)  | 
| Weight | 3.02 kg (6.65 lbs) | 
| Operating Temperature | 10 to 40 °C | 
| Power Specifications | |
| Input Voltage | 100 - 240 VAC | 
| Input Frequency | 50 - 60 Hz | 
| Input Power (Max) | 60 VA | 
| Fuse Type | IEC60127-2/3 (250 VA, Slow Blow, Type "T") | 
| Fuse Dimensions | 5 mm x 20 mm | 
| Fuse Rating | 600 mA | 

Input Voltage: 0 - 75 V

Output Voltage: 0 - 150 V
Output Impedance (Max): 150 Ω, 1.0 nF

Input Voltage: 0 - 10 V
Input Impedance: 10 kΩ

Knowing the rate at which a piezo is capable of changing lengths is essential in many high-speed applications. The bandwidth of a piezo controller and stack can be estimated if the following is known:
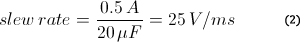
To drive the output capacitor, current is needed to charge it and to discharge it. The change in charge, dV/dt, is called the slew rate. The larger the capacitance, the more current needed:

For example, if a 100 µm stack with a capacitance of 20 µF is being driven by a BPC Series piezo controller with a maximum current of 0.5 A, the slew rate is given by

Hence, for an instantaneous voltage change from 0 V to 75 V, it would take 3 ms for the output voltage to reach 75 V.
Note: For these calculations, it is assumed that the absolute maximum bandwidth of the driver is much higher than the bandwidths calculated, and thus, driver bandwidth is not a limiting factor. Also please note that these calculations only apply for open-loop systems. In closed-loop mode, the slow response of the feedback loop puts another limit on the bandwidth.

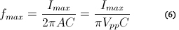
The bandwidth of the system usually refers to the system's response to a sinusoidal signal of a given amplitude. For a piezo element driven by a sinusoidal signal of peak amplitude A, peak-to-peak voltage Vpp, and frequency f, we have:

A diagram of voltage as a function of time is shown in Figure 102A. The maximum slew rate, or voltage change, is reached at t = 2nπ, (n=0, 1, 2,...) at point a in Figure 102A:

From Equation 1:

Thus,
For the example above, the maximum full-range (75 V) bandwidth would be
.
For a smaller piezo stack with 10 times lower capacitance, the results would be 10 times better, or about 1060 Hz. Or, if the peak-to-peak signal is reduced to 7.5 V (10% max amplitude) with the 100 µm stack, again, the result would be 10 times better at about 1060 Hz.

For a piezo actuator driven by a triangle wave of max voltage Vpeak and minimum voltage of 0, the slew rate is equal to the slope:
.
Or, since f = 1/T:


For a piezo actuator driven by a square wave of maximum voltage Vpeak and minimum voltage 0, the slew rate limits the minimum rise and fall times. In this case, the slew rate is equal to the slope while the signal is rising or falling. If tr is the minimum rise time, then

or
.
For additional information about piezo theory and operation, see the Piezoelectric Tutorials page.
Version 2.4.2
Software package with GUI and drivers to control the MDT693B, as well as an SDK for third-party development.
External Control Using Serial Commands
The three output channels of the MDT693B piezo controller can also be modulated remotely by sending serial commands through USB. The list of available commands is given in Chapter 7 of the manual. They include the ability to read and set voltages on a per-channel basis, to increment or decrement the control voltage at fixed step sizes, and to enable Master Scan mode.
Compatibility
The MDT693B is also backwards compatible with the software and serial commands used to control the previous-generation MDT693A.
Please note that firmware version 1.09 or later is required if using version 2 of the software. The firmware can be updated by clicking the Software button.

3-Axis Stages
Thorlabs offers three different 3-Axis Stage variations: NanoMax flexure stages, MicroBlock compact flexure stages, and RollerBlock long-travel stages. Each stage features a 62.5 mm nominal deck height. Our NanoMax line of 3-axis stages offers built-in closed- and open-loop piezos as well as modular drive options that include stepper motors, differential drives, or additional piezos. The MicroBlock stages are available with differential micrometer drives or fine thread thumbscrews; these drives are not removable. Finally, our RollerBlock stage drivers can be switched out for any actuator that has a Ø3/8" (9.5 mm) mounting barrel.
4- and 5-Axis Stages
Our 4- and 5-axis stages are ideal for the static positioning of waveguides or complex optical elements with respect to our 3-axis or 6-axis high-performance alignment stages. Thorlabs' 5-axis stages have nominal heights of 62.5 mm or 112.5 mm. The AMA554 Height Adapter can be used to raise the deck height of the 3-axis or 4-axis stages to 112.5 mm for compatibility with our 5-axis MicroBlock or 6-Axis NanoMax Stages.
6-Axis Stages
Thorlabs' 6-Axis NanoMax Nanopositioners are ideal for complex, multi-axis positioning and have a nominal deck height of 112.5 mm. These stages offer a common point of rotation and a patented parallel flexure design that allows all actuators to be coupled directly to the base to minimize any unwanted motion in the system. Built-in closed- and open-loop piezo options are available. A selection of modular drive options allows any axis to be manual or motorized with the option for external piezos. Our units without included actuators are also available in right- or left-handed configurations. To increase the stage height of the 3-axis stages to 112.5 mm, we recommend our AMA554 Height Adapter, shown in Figure 83A.
A complete selection and comparison of our multi-axis stages is available below.
| Item # | MAX313D | MAX312D | MAX311D | MAX383 | MAX381 | MAX303 | MAX302 | MAX301 | MBT602 | MBT616D | RB13M | RBL13D | ||||||||
|---|---|---|---|---|---|---|---|---|---|---|---|---|---|---|---|---|---|---|---|---|
| Stage Type | NanoMax Flexure Stages | MicroBlock Compact Flexure Stages  | 
RollerBlock Long Travel Stages | |||||||||||||||||
| Included Drives | DRV3 Differential Micrometers | DRV208 Stepper Motor Actuators | N/A | Fine Thread Thumbscrews | Differential Micrometers | 148-801ST Micrometer Drives  | 
DRV304 Differential Micrometers  | 
|||||||||||||
| Built-in Piezos | N/A | Open Loop  | 
Closed Loop | N/A | Closed Loop | N/A | Open Loop | Closed Loop | N/A | N/A | ||||||||||
| Travel (X, Y, Z) | 4 mm (0.16") | 13 mm (0.51") | ||||||||||||||||||
| Deck Height (Nominal) | 62.5 mm (2.46") | |||||||||||||||||||
| Optical Axis Height (Nominal) | 75 mm (2.95") | |||||||||||||||||||
| Load Capacity (Max) | 1 kg (2.2 lbs) | 4.4 kg (9.7 lbs) | ||||||||||||||||||
| Thermal Stability | 1 µm/°C | - | ||||||||||||||||||
| Weight | 1.00 kg (2.20 lbs) | 0.64 kg (1.40 lbs) | 0.59 kg (1.30 lbs) | |||||||||||||||||
| Item # | MBT401D MBT401D/M  | 
MBT402D MBT402D/M  | 
|
|---|---|---|---|
| Stage Type | 4-Axis Thin-Profile MicroBlock Device Stage | 4-Axis Low-Profile MicroBlock Device Stage | |
| Included Drives | Differential Micrometers | ||
| Built-in Piezos | N/A | ||
| Travel | Horizontal Axis (Y)a | 13 mm (0.51") | |
| Vertical Axis (Z) | 6 mm (0.24") | ||
| Pitch (θy) | ±5° | ||
| Yaw (θz) | ±5° | ||
| Deck Height (Nominal) | 62.5 mm (2.46") | ||
| Optical Axis Height (Nominal) | 75 mm (2.95") | ||
| Load Capacity (Max) | 0.5 kg (1.1 lbs) | ||
| Item # | MBT401D (MBT401D/M) or MBT402D (MBT402D/M) with MBT501  | 
PY005 | |
|---|---|---|---|
| Stage Type | 5-Axis MicroBlock Stage System | Compact 5-Axis Stage | |
| Included Drives | Differential Micrometers | 100 TPI Actuators | |
| Built-in Piezos | N/A | ||
| Travel | Optical Axis (X) | 13 mm (0.51") | 3 mm (0.12") | 
| Horizontal Axis (Y) | 13 mm (0.51") | 3 mm (0.12") | |
| Vertical Axis (Z) | 6 mm (0.24") | 3 mm (0.12") | |
| Pitch (θy) | ±5° | ±3.5° | |
| Yaw (θz) | ±5° | ±5° | |
| Deck Height (Nominal) | 112.5 mm (4.43") | 62.5 mm (2.46")a | |
| Optical Axis Height (Nominal) | 125 mm (4.92") | 75 mm (2.95")a | |
| Load Capacity (Max) | 0.5 kg (1.1 lbs) | 0.23 kg (0.5 lbs) | |
| Item # | MAX601D MAX601D/M  | 
MAX602D MAX602D/M  | 
MAX603D MAX603D/M  | 
MAX681 MAX681/M  | 
MAX682 MAX682/M  | 
MAX683 MAX683/M  | 
MAX607 MAX607/M MAX607La MAX607L/Ma  | 
MAX608 MAX608/M MAX608La MAX608L/Ma  | 
MAX609 MAX609/M MAX609La MAX609L/Ma  | 
|
|---|---|---|---|---|---|---|---|---|---|---|
| Stage Type | 6-Axis NanoMax Flexure Stage | |||||||||
| Included Drives | DRV3 Differential Micrometers | DRV208 Stepper Motor Actuators | N/A | |||||||
| Built-in Piezos | N/A | Open Loop | Closed Loop | N/A | Open Loop | Closed Loop | N/A | Open Loop | Closed Loop | |
| Travel | X, Y, Z | 4 mm (0.16") | ||||||||
| θx, θy, θz | 6° | |||||||||
| Deck Height (Nominal) | 112.5 mm (4.43") | |||||||||
| Optical Axis Height (Nominal) | 125 mm (4.92") | |||||||||
| Load Capacity (Max) | 1.0 kg (2.2 lbs) | |||||||||
Part Number  | Description  | Price  | Availability  | 
|---|---|---|---|
MDT630B/M  |  MAX302/M NanoMax Stage, 3 Differential Micrometers and Piezo Controller  | $5,296.50   | Today  | 
MDT630B  |  MAX302 NanoMax Stage, 3 Differential Micrometers and Piezo Controller  | $5,296.50   | Today  |