

R1DS1N
Ø1" 1951 USAF Target
R1L3S6PR
Reflective Variable Line Grating Target
R1L1S1P
Combined Resolution
and Distortion Target
R3L3S1N
Negative 1951 USAF Target
R1L1S2P
Sector Star Target
R2L2S1P1
Positive, High-Frequency
NBS 1963A Target
| Type | Photolithographic | Birefringent |
|---|---|---|
| Design | Chrome-on-Glass | Birefringent Pattern |
| Substrate | Clear Soda Lime Glassa | Variesb |
| Substrate Thickness | 0.06" (1.5 mm) | Variesb |
If you have a custom or OEM project that requires test targets, I would be happy to speak with you about our ability to customize the products sold on this page. For more information, I invite you to visit our Custom Capabilities tab or contact me directly to discuss your specific application.

Resolution test targets are typically used to measure the resolution of an imaging system. They consist of reference line patterns with well-defined thicknesses and spacings and are designed to be placed in the same plane as the object being imaged. By identifying the largest set of non-distinguishable lines, one determines the resolving power of a given system. Thorlabs offers resolution test targets with 1951 USAF, NBS 1952, and NBS 1963A patterns. Targets are also available with sector star (also known as Siemens star) patterns, Ronchi rulings, a variable line grating, calibration targets with squares or circles, or a combination of patterns for resolution and distortion testing. For more information on each pattern, see the Resolution Targets tab.
All of our resolution test target patterns are manufactured using photolithography and available as positive targets; and many have negative versions as well. We also offer several versions of high-contrast positive reflective targets. The positive targets consist of low-reflectivity, vacuum-sputtered chrome patterns plated on clear substrates and are useful for front-lit and general applications. The negative targets use low-reflectivity chrome to cover the substrates, leaving the patterns clear, and work well in back-lit and highly illuminated applications. The positive reflective targets are composed of a low-reflectivity chrome pattern etched on soda lime glass with a chrome background for high contrast in reflective applications. See the Graphs tab for spectral data of the materials used in these test targets.
Mounting
These resolution test targets can be mounted in one of four of our microscopy slide holders. Our MAX3SLH Fixed Slide Holder provides two spring clips to mount the optic and can be mounted to any of our 3-axis translation stages. The MAX3SLH is only compatible with test targets greater than or equal to 2" wide and provides a clear aperture of 1", which may cover the chrome pattern on some of the test targets. Thorlabs also offers our XYF1(/M) Test Target Positioning Mount (see Figure 1.1) capable of translating a 1" to 3" wide rectangular target over a 50 mm x 30 mm area. The mount offers five 8-32 (M4) taps for six post-mountable orientations. The XYF1(/M) mount uses nylon-tipped setscrews to secure the optic. Please note that the mount's support arms overlap the optic by 4.4 mm on each side. For users of our high-speed motorized XY scanning stages, we offer the MLS203P2 Slide Holder for Inverted Microscopes, which can mount slides 25 mm to 26.5 mm wide and petri dishes 30 mm to 60 mm in diameter.
Photolithographic Target Manufacturing
Our extensive production capabilities enable us to provide solutions for imaging system calibration and measurements. We use contact photolithography with a mask aligner to define the pattern on the glass substrate. Once the pattern is defined, we chemically etch the substrates and clean them in a class 100 cleanroom.
Birefringent Target Manufacturing
Our R3L1S1B and R2L2S1B Birefringent Resolution Targets have a pattern that is invisible unless viewed through a pair of crossed polarizers, making them ideal for calibration of polarization-sensitive systems. The pattern is created by using a photo alignment process to set the fast axis of the liquid crystal polymer layer, which is protected by two layers of glass. These devices are engineered so that the fast axis of the overall target is aligned parallel to the side of the glass covers, whereas the fast axis for the patterned area is aligned 45° to this edge. The entire targets have a retardation of 280 ± 20 nm. Additionally, they can display both positive and negative patterns by changing the orientation of the crossed polarizers. If the crossed polarizers are aligned with the sides of the target, the positive image will be formed. If the crossed polarizers are aligned at 45° to the sides of the target, the negative image will be formed.
Thorlabs also offers a complete line of reticles for superimposing a reference pattern onto an object.
| Targets Selection Guide | ||||
|---|---|---|---|---|
| Resolution Test Targets | Calibration Targets | Distortion Test Targets | Slant Edge MTF Target | Stage Micrometers |

The resolution of an imaging system is often specified in line pairs per millimeter (lp/mm), where a line pair is one light line and one dark line. This value represents the smallest distance between two objects that can be registered by the system; a higher value in lp/mm means the distance between each pair of lines is smaller.
Figure 2.1 illustrates the resolution limit of a system. The line pair imaged by the camera on the left cannot be resolved; the two lines are registered by adjacent pixels on the camera sensor, causing them to appear as a single object. In contrast, the line pair on the right has a greater spacing, and thus can be resolved by the system.
The sections below describe the line patterns found on the resolution test targets sold on this page.
| Table 2.3 1951 USAF Target Options | ||||
|---|---|---|---|---|
| Item # | # of Groups | Groups | Configuration | Dimensions |
| R1DS1P | 6 | +2 to +7 | Single Set | Ø1" |
| R1DS1N | ||||
| R1DS1P1 | 8 | 0 to +7 | ||
| R1DS1N1 | ||||
| R1DS1P2 | 6 | +2 to +7 | Wheel | |
| R1DS1N2 | ||||
| R1L1S1P | 10 | -2 to +7 | Combination | 18 mm x 18 mm |
| R1L1S1N | ||||
| R1L1S7P | 8 | 0 to +7 | Single Set | 1" x 1" |
| R1L1S7N | ||||
| R2L2S4P | 1.5" x 1.5" | |||
| R2L2S4N | ||||
| R3L1S4P1 | 3" x 1" | |||
| R3L1S4N1 | ||||
| R3L1S4P | 6 | +2 to +7 | Wheel | |
| R3L1S4N | ||||
| R3L1S4PR | ||||
| R3L1S1B | 0 to +5 | Single Set | ||
| R3L3S1P | 10 | -2 to +7 | Single Set | 3" x 3" |
| R3L3S1N | ||||
| R3L3S1PR | ||||

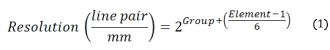
These resolution targets have a series of horizontal and vertical lines that are used to determine the resolution of an imaging system. A set of six elements (horizontal and vertical line pairs) are in one group, and ten groups compose the resolution chart. Figure 2.2 shows Elements 2 and 3 of Group -2 on a resolution target.
With line sets of three, these targets offer the advantage of an increased ability to recognize spurious resolution. Spurious resolution occurs when a set of lines is sufficiently blurred such that the overlap appears to form inverted, more distinct lines. This can cause a misreading of the resolution of the optical system, since it will appear that the lines are distinguishable. Spurious resolution also results in the appearance of one less line than exists in the line set. Since the difference between three lines and two is more easily noticed than the difference between five lines and four, for example, it is easier to recognize the occurrence of spurious resolution in targets with sets of only three lines.

The spacing between the lines in each element is equal to the thickness of the line itself. When the target is imaged, the resolution of an imaging system can be determined by viewing the clarity of the horizontal and vertical lines. The largest set of non-distinguishable horizontal and vertical lines determines the resolving power of the imaging system. Table 2.4 lists the number of line pairs per millimeter for a given element within a group based on formula (1). With our resolution targets, the maximum resolution is 228.0 line pairs per millimeter, which equates to roughly 4.4 µm per line pair. The 3" x 3" targets feature ten groups from -2 to +7; the 3" x 1" targets feature eight groups from 0 to +7; the 3" x 1" wheel pattern versions feature nine targets, each with six groups from +2 to +7; the 3" x 1" birefringent target features six group, from 0 to +5; the 1.5" x 1.5" targets feature eight groups from 0 to +7; the 1" x 1" targets feature eight groups from 0 to +7; the 18 mm x 18 mm (0.71" x 0.71") combined targets feature six groups from +2 to +7; the Ø1" targets feature either six groups, from +2 to +7, or eight groups, from 0 to +7; and the Ø1" wheel pattern versions feature six targets, each with six groups from +2 to +7.
| Table 2.4 1951 USAF Target Spatial Frequencies | ||||||||||
|---|---|---|---|---|---|---|---|---|---|---|
| Element | Group Number | |||||||||
| -2 | -1 | 0 | 1 | 2 | 3 | 4 | 5 | 6 | 7 | |
| 1 | 0.250 | 0.500 | 1.00 | 2.00 | 4.00 | 8.00 | 16.00 | 32.00 | 64.00 | 128.00 |
| 2 | 0.280 | 0.561 | 1.12 | 2.24 | 4.49 | 8.98 | 17.95 | 36.0 | 71.8 | 144.0 |
| 3 | 0.315 | 0.630 | 1.26 | 2.52 | 5.04 | 10.10 | 20.16 | 40.3 | 80.6 | 161.0 |
| 4 | 0.353 | 0.707 | 1.41 | 2.83 | 5.66 | 11.30 | 22.62 | 45.3 | 90.5 | 181.0 |
| 5 | 0.397 | 0.793 | 1.59 | 3.17 | 6.35 | 12.70 | 25.39 | 50.8 | 102.0 | 203.0 |
| 6 | 0.445 | 0.891 | 1.78 | 3.56 | 7.13 | 14.30 | 28.50 | 57.0 | 114.0 | 228.0 |

NBS 1952 Targets have sets of three vertical lines and sets of three horizontal lines. Each line and the space between it and the next line can be thought of as a line pair or a cycle. The resolution that each target is able to test is given by the frequency of line pairs in line pairs/mm (lp/mm). A list of every frequency available between our two NBS 1952 targets is given in Table 2.6, along with the corresponding line widths.
These targets offer two main advantages: the minimization of spurious resolution and the feasibility of one-pass scanning. Spurious resolution occurs when a set of lines is sufficiently blurred such that the overlap appears to form inverted, more distinct lines. This can cause a misreading of the resolution of the optical system, since it will appear that the lines are distinguishable. Spurious resolution also results in the appearance of one less line than exists in the line set. Since the difference between three lines and two is more easily noticed than the difference between five lines and four, for example, it is easier to recognize the occurrence of spurious resolution in targets with sets of only three lines.
The advantage of one-pass scanning is made possible by the arrangement of the line sets on these targets. The horizontal and vertical line sets are arranged in an identical fashion, with identical frequencies, such that the target is symmetric across a diagonal line from the upper left to the lower right. If one scans from left to right or from top to bottom on the target, the frequency of the lines will increase until the center is reached and then decrease to the opposite edge. Whether done horizontally or vertically, this single pass across the full pattern covers each frequency available on the target. Thus, movement in only one direction is required to determine the resolution of an optical system.
| Table 2.6 NBS 1952 Target Spatial Frequencies | |||||||
|---|---|---|---|---|---|---|---|
| Resolution (lp/mm) | Line Width (µm) | Resolution (lp/mm) | Line Width (µm) | Resolution (lp/mm) | Line Width (µm) | Resolution (lp/mm) | Line Width (µm) |
| 0.48 | 1041.7 | 2.24 | 223.2 | 6.8 | 73.5 | 20 | 25 |
| 0.56 | 892.9 | 2.4 | 208.3 | 8 | 62.5 | 24 | 20.8 |
| 0.68 | 735.3 | 2.72 | 183.3 | 9.6 | 52.1 | 28 | 17.9 |
| 0.8 | 625 | 2.8 | 176.8 | 11.2 | 44.6 | 34 | 14.7 |
| 0.96 | 520.8 | 3.2 | 156.3 | 12 | 41.7 | 40 | 12.5 |
| 1.12 | 446.4 | 3.4 | 147.1 | 13.6 | 36.8 | 48 | 10.4 |
| 1.36 | 367.6 | 4 | 125 | 14 | 35.7 | 56 | 8.9 |
| 1.6 | 312.5 | 4.8 | 104.2 | 16 | 31.3 | 68 | 7.4 |
| 1.92 | 260.4 | 5.6 | 89.3 | 17 | 29.4 | 80 | 6.3 |

NBS 1963A Targets have line sets of five vertical and five horizontal lines. Each line and the space between it and the next line can be thought of as a line pair or a cycle. The resolution that each target is able to test is given by the frequency of the cycles in cycles/mm. On Thorlabs' NBS 1963A targets, each line set is labeled with its frequency. By determining the smallest lines that are distinguishable (highest cycles/mm), you can determine the resolution of an imaging system.
Our standard NBS 1963A targets offer 26 line sets with resolutions scaled from 1.0 cycles/mm to 18.0 cycles/mm. For more rigorous resolution testing, our high-frequency NBS 1963A targets have 48 line sets with frequencies from 1.0 cycles/mm to 228 cycles/mm, and our R1L3S5P combined resolution and distortion test target has 35 line sets with frequencies from 4.5 cycles/mm to 228 cycles/mm. The size of each cycle is simply the reciprocal of the frequency and is given for all available frequencies in Table 2.8. For the individual line width, divide the cycle size in half.
| Table 2.8 NBS 1963A Target Spatial Frequencies | |||||||
|---|---|---|---|---|---|---|---|
| Cycles/mm | Cycle Size | Cycles/mm | Cycle Size | Cycles/mm | Cycle Size | Cycles/mm | Cycle Size |
| 1.0 | 1.00 mm | 4.0 | 0.250 mm | 16.0 | 0.063 mm | 64.0 | 0.016 mm |
| 1.1 | 0.909 mm | 4.5 | 0.222 mm | 18.0 | 0.056 mm | 72.0 | 0.014 mm |
| 1.25 | 0.800 mm | 5.0 | 0.200 mm | 20.0 | 0.05 mm | 81.0 | 0.012 mm |
| 1.4 | 0.714 mm | 5.6 | 0.179 mm | 23.0 | 0.043 mm | 91.0 | 0.011 mm |
| 1.6 | 0.625 mm | 6.3 | 0.159 mm | 25.0 | 0.040 mm | 102 | 0.010 mm |
| 1.8 | 0.556 mm | 7.1 | 0.141 mm | 29.0 | 0.034 mm | 114 | 0.009 mm |
| 2.0 | 0.500 mm | 8.0 | 0.125 mm | 32.0 | 0.031 mm | 128 | 0.008 mm |
| 2.2 | 0.455 mm | 9.0 | 0.111 mm | 36.0 | 0.028 mm | 144 | 0.007 mm |
| 2.5 | 0.400 mm | 10.0 | 0.100 mm | 40.0 | 0.025 mm | 161 | 0.0062 mm |
| 2.8 | 0.357 mm | 11.0 | 0.091 mm | 45.0 | 0.022 mm | 181 | 0.0055 mm |
| 3.2 | 0.313 mm | 12.5 | 0.080 mm | 51.0 | 0.020 mm | 203 | 0.0049 mm |
| 3.6 | 0.278 mm | 14.0 | 0.071 mm | 57.0 | 0.018 mm | 228 | 0.0044 mm |

Sector star targets, also known as Siemens star targets, consist of a number of dark bars that increase in thickness as they radiate out from a shared center. The blank spaces between the bars can themselves be thought of as light bars, and they are designed to be the same thickness as the dark bars at any given radial distance. Theoretically, the bars meet only at the exact middle point of the target. Some sector star targets, including all those sold on this page, have a blank center circle that cuts the bars off before they touch. However, depending on the resolution of the optical system through which the targets are viewed, the bars will appear to touch at some distance from the center. By measuring this distance, the user is able to define the resolution of the optical system.
To calculate the resolution at any given radial distance from the center of the sector star, start by calculating the thickness of a line pair, or one dark bar and one light bar, at that radius. This can be done using the formula for the chord length, given below, where r is the radial distance from the center. The angle Θ is the number of degrees covered by one pair of light and dark bars and is equal to 360° divided by the total number of bars. Once the thickness of the line pair is calculated, the resolution is the reciprocal of the thickness.


Thorlabs offers five dedicated sector star targets (R1L1S2x, R1L1S3x, and R1DS8N) and three targets that include sector stars along with other patterns (R1L3S5P, R1L1S1P, and R1L1S1N). Table 2.10 summarizes the sector star pattern on each target.
| Table 2.10 Sector Star Specifications | ||||||
|---|---|---|---|---|---|---|
| Item # | Pattern Type | Sector Star Pattern Outer Diameter | Center Circle Diameter | Number of Bars | Resolution at Outer Diameter | Resolution at Center Circle |
| R1DS8N | Negative | 20 mm | 1 mm | 72 Over 360° | 1.15 lp/mm | 23 lp/mm |
| R1L1S2P | Positive | 10 mm | 200 µm | 36 Over 360° | 1.2 lp/mm | 57.3 lp/mm |
| R1L1S3P | 72 Over 360° | 2.29 lp/mm | 115 lp/mm | |||
| R1L1S2N | Negative | 36 Over 360° | 1.2 lp/mm | 57.3 lp/mm | ||
| R1L1S3N | 72 Over 360° | 2.29 lp/mm | 115 lp/mm | |||
| R1L3S5P | Positive | 2 mm | 100 µm | 36 Over 360° | 5.75 lp/mm | 115 lp/mm |
| R1L1S1P | Positive | 2 mm | 20 µm | 36 Over 360° | 5.75 lp/mm | 575 lp/mm |
| R1L1S1N | Negative | |||||

Line gratings consist of dark, parallel bars with widths that are equal to the distance between them. In any line grating, one dark bar and one blank space compose a line pair. The resolution of an optical system is dependent on its ability to distinguish adjacent line pairs. Thus, the grating resolution is defined by the number of line pairs in a given amount of space and is typically given in line pairs per millimeter (lp/mm). A variable line grating has some number of grating sections, which increase or decrease in resolution as you move from one to the next. By identifying the highest resolution line grating that an optical system is able to resolve, the user determines the resolution of the system.
Thorlabs offers a variable line grating target with a range of resolutions from 1.25 lp/mm to 250 lp/mm. Table 2.12 gives the included resolutions along with a conversion of the line pair size.
| Table 2.12 Spatial Frequency to Resolution Conversion | |||||
|---|---|---|---|---|---|
| lp/mm | Line Pair Size | lp/mm | Line Pair Size | lp/mm | Line Pair Size |
| 1.25 | 0.80 mm | 3.85 | 0.26 mm | 16.67 | 0.06 mm |
| 1.67 | 0.60 mm | 4.17 | 0.24 mm | 50 | 0.02 mm |
| 2.08 | 0.48 mm | 5.0 | 0.20 mm | 100 | 0.01 mm |
| 2.5 | 0.40 mm | 6.67 | 0.15 mm | 200 | 0.005 mm |
| 2.86 | 0.35 mm | 10.0 | 0.10 mm | 250 | 0.004 mm |
| 3.33 | 0.30 mm | 12.5 | 0.08 mm | - | - |




| Customization Parameters | ||
|---|---|---|
| Substrate Sizea | Min | 8 mm x 8 mm (5/16" x 5/16") |
| Max | 85 mm x 85 mm (3.35" x 3.35") | |
| Substrate Materials | Soda Lime Glass UV Fused Silica Quartz |
|
| Coating Material | Chromeb Low-Reflectivity Chromec |
|
| Coating Optical Density | ≥3d or ≥6e @ 430 nm | |
| Minimum Pinhole/Spot | Ø1 µm | |
| Minimum Line Width | 1 µm | |
| Line Width Tolerance | -0.25 / +0.50 µm | |
| Maximum Line Density | 500 lp/mm | |
Our in-house photolithographic design and production capabilities enable us to create a range of patterned optics. We manufacture test targets, distortion grids, and reticles at our Thorlabs Spectral Works facility in Columbia, South Carolina. These components have served a wide variety of applications, being implemented in microscopes, imaging systems, and optical alignment setups.
In addition to our catalog test targets and reticles offered from stock, we can provide custom chrome patterns on soda lime, UV fused silica, or quartz substrates from 8 mm by 8 mm up to 85 mm by 85 mm. Substrates can be cut to shape for your application. Our photolithographic coating process allows us to create chrome features down to 1 µm. A few sample patterns are shown in Figures 165C through 165J, which can be made positive or negative, as shown in Figure 165A and Figure 165B.
For a quote on custom test targets and reticles, please contact us at TSW@thorlabs.com.
Click to Enlarge
Click to Enlarge
Click to Enlarge
Click to Enlarge
Click to Enlarge
Click to Enlarge
Click to Enlarge
Click to Enlarge
Click to EnlargeThis tab details an optimal cleaning technique developed by our engineers for cleaning reticles, test targets, distortion targets, and calibration targets.
We do not suggest using a towel, rag, or wipe to dry the surface. If contamination persists, soak the reticle or target in a detergent and water solution for 1 hour, repeating as necessary.


| Optical Specifications | ||||||
|---|---|---|---|---|---|---|
| Item # | R1DS1P1 | R1DS1N1 | R1DS1P | R1DS1N | R1DS1P2 | R1DS1N2 |
| Pattern | LRa Chrome | Clear | LRa Chrome | Clear | LRa Chrome | Clear |
| Background | Clear | LRa Chrome | Clear | LRa Chrome | Clear | LRa Chrome |
| Surface Flatness | <50 µm | <15 µm | ||||
| Chrome Optical Densityb | ≥3.0 | |||||
Thorlabs offers positive and negative Ø1.00" (Ø25.4 mm) resolution test targets that are made by plating low-reflectivity, vacuum sputtered chrome on a soda lime glass substrate. These targets are available with either 6 groups (+2 to +7) or 8 groups (0 to +7), each with 6 elements, offering a maximum resolution of 228.0 line pairs (one light line and one dark line) per millimeter. We also offer wheel pattern targets that have nine 1951 USAF targets, each with 6 groups (+2 to +7). For more information on the 1951 USAF pattern and available configurations, please see the Resolution Targets tab above.
Because these targets feature sets of three lines, they reduce the occurrence of spurious resolution and thus help prevent inaccurate resolution measurements. For more information on spurious resolution, please see the Resolution Targets tab.
The positive targets with Item # suffixes P, P1, and P2 consist of low-reflectivity chrome patterns plated onto a clear substrate and are useful for front-lit and general applications. Alternatively, the negative targets with Item # suffixes N, N1, and N2 use the same low-reflectivity chrome coating to cover the substrate, leaving the pattern itself clear, and work well in back-lit and highly illuminated applications.
Part Number | Description | Price | Availability |
|---|---|---|---|
R1DS1P1 | Positive 1951 USAF Test Target Groups 0-7, Ø1" | $162.69 | Today |
R1DS1N1 | Negative 1951 USAF Test Target Groups 0-7, Ø1" | $162.69 | Today |
R1DS1P | Customer Inspired! Positive 1951 USAF Test Target Groups 2-7, Ø1" | $162.69 | Today |
R1DS1N | Customer Inspired! Negative 1951 USAF Test Target Groups 2-7, Ø1" | $162.69 | Today |
R1DS1P2 | Positive 1951 USAF Wheel Pattern Test Target Groups 2-7, Ø1" | $197.95 | Today |
R1DS1N2 | Negative 1951 USAF Wheel Pattern Test Target Groups 2-7, Ø1" | $197.95 | Today |


| Optical Specifications | ||
|---|---|---|
| Item # | R1L1S7P | R1L1S7N |
| Pattern | LRa Chrome | Clear |
| Background | Clear | LRa Chrome |
| Surface Flatness | ≤15 µm | |
| Chrome Optical Densityb | ≥3.0 | |
Thorlabs offers positive and negative 1.00" x 1.00" (25.4 mm x 25.4 mm) resolution test targets that are made by plating low-reflectivity, vacuum sputtered chrome on a soda lime glass substrate. These targets have 8 groups (0 to +7) with 6 elements, offering a maximum resolution of 228.0 line pairs (one light line and one dark line) per millimeter. For more information on the 1951 USAF pattern, please see the Resolution Targets tab above.
Because these targets feature sets of three lines, they reduce the occurrence of spurious resolution and thus help prevent inaccurate resolution measurements. For more information on spurious resolution, please see the Resolution Targets tab.
The R1L1S7P positive target consists of a low-reflectivity chrome pattern plated on to a clear substrate and is useful for front-lit and general applications. Alternatively, the R1L1S7N negative target uses the same low-reflectivity chrome coating to cover the substrate, leaving the pattern itself clear, and works well in back-lit and highly illuminated applications.
Part Number | Description | Price | Availability |
|---|---|---|---|
R1L1S7P | Positive 1951 USAF Test Target Groups 0-7, 1" x 1" | $162.69 | Today |
R1L1S7N | Negative 1951 USAF Test Target Groups 0-7, 1" x 1" | $162.69 | Today |


| Optical Specifications | ||
|---|---|---|
| Item # | R2L2S4P | R2L2S4N |
| Pattern | LRa Chrome | Clear |
| Background | Clear | LRa Chrome |
| Surface Flatness | ≤15 µm | |
| Chrome Optical Densityb | ≥3.0 | |
Thorlabs offers positive and negative 1.50" x 1.50" (38.1 mm x 38.1 mm) resolution test targets that are made by plating low-reflectivity, vacuum sputtered chrome on a soda lime glass substrate. These targets have 8 groups (0 to +7) with 6 elements, offering a maximum resolution of 228.0 line pairs (one light line and one dark line) per millimeter. For more information on the 1951 USAF pattern, please see the Resolution Targets tab above.
Because these targets feature sets of three lines, they reduce the occurrence of spurious resolution and thus help prevent inaccurate resolution measurements. For more information on spurious resolution, please see the Resolution Targets tab.
The R2L2S4P positive target consists of a low-reflectivity chrome pattern plated on to a clear substrate and is useful for front-lit and general applications. Alternatively, the R2L2S4N negative target uses the same low-reflectivity chrome coating to cover the substrate, leaving the pattern itself clear, and works well in back-lit and highly illuminated applications.
Part Number | Description | Price | Availability |
|---|---|---|---|
R2L2S4P | Positive 1951 USAF Test Target Groups 0-7, 1.5" x 1.5" | $214.00 | Today |
R2L2S4N | Negative 1951 USAF Test Target Groups 0-7, 1.5" x 1.5" | $214.00 | Today |


Thorlabs offers positive and negative 3.00" x 1.00" (76.2 mm x 25.4 mm) resolution test targets that are made by plating vacuum-sputtered low-reflectivity chrome on a soda lime glass substrate. The single targets (Item #s R3L1S4P1 and R3L1S4N1) each have 8 groups (0 to +7) with 6 elements. The wheel pattern targets (Item #s R3L1S4P, R3L1S4N, and R3L1S4PR) have nine 1951 USAF targets, each with 6 groups (+2 to +7). Both sets have a maximum resolution of 228.0 line pairs (one light line and one dark line) per millimeter. For more information on the 1951 USAF pattern, please see the Resolution Targets tab above.
| Optical Specifications | |||||
|---|---|---|---|---|---|
| Item # | R3L1S4P1 | R3L1S4N1 | R3L1S4P | R3L1S4N | R3L1S4PR |
| Pattern | LRa Chrome | Clear | LRa Chrome | Clear | LRa Chrome |
| Background | Clear | LRa Chrome | Clear | LRa Chrome | Chrome |
| Surface Flatness | ≤15 µm | ||||
| Chrome Optical Densityb | ≥3.0 | - | |||
| Chrome Reflectanceb | - | LRa Chrome: <10% Chrome: >40% |
|||
Because these targets feature sets of three lines, they reduce the occurrence of spurious resolution and thus help prevent inaccurate resolution measurements. For more information on spurious resolution, please see the Resolution Targets tab.
Thorlabs' R3L1S4P1 and R3L1S4P positive targets are composed of a low-reflectivity chrome pattern etched on clear soda lime glass, useful for front-lit and general applications. Alternatively, the R3L1S4N1 and R3L1S4N negative targets use low-reflectivity chrome to cover the substrate, leaving the pattern itself clear, and work well in back-lit and highly illuminated applications. The R3L1S4PR positive reflective target is composed of a dark low-reflectivity chrome pattern on a chrome background; the high contrast between the pattern and the background makes this target ideal for reflective applications. See the Graphs tab for details.
Part Number | Description | Price | Availability |
|---|---|---|---|
R3L1S4P1 | Positive 1951 USAF Test Target Groups 0-7, 3" x 1" | $214.00 | Today |
R3L1S4N1 | Negative 1951 USAF Test Target Groups 0-7, 3" x 1" | $214.00 | Today |
R3L1S4P | Positive 1951 USAF Wheel Pattern Test Target Groups 2-7, 3" x 1" | $259.29 | Today |
R3L1S4N | Negative 1951 USAF Wheel Pattern Test Target Groups 2-7, 3" x 1" | $259.29 | Today |
R3L1S4PR | Positive Reflective 1951 USAF Wheel Pattern Test Target Groups 2-7, 3" x 1" | $259.29 | Today |


| Optical Specifications | |
|---|---|
| Design | Liquid Crystal Polymer Between Soda Lime Glass Slide and Schott D 263® M Cover Glass |
| Slide Thickness | 1.0 mm (0.04") |
| Cover Slip Thickness | 0.2 mm |
Thorlabs offers a birefringent 1.00" x 3.00" (25.4 mm x 76.2 mm) 1951 USAF resolution test target that is made by sandwiching a birefringent pattern between a soda lime glass slide and a Schott D 263®† M cover slip. The R3L1S1B target features six groups (0 to 5) with six elements per group, offering a maximum resolution of 57.0 line pairs (one light line and one dark line) per millimeter. The test pattern is only observable if the target is placed between a pair of crossed polarizers, as shown in Figure G5.1. See the Resolution Targets tab above for more details on the test pattern.
The target is designed so that it can display both positive and negative patterns by adjusting the orientation of the test target relative to the crossed polarizers. If the polarizers are aligned with the sides of the slide, the positive image will be formed. If the polarizers are aligned at ~45° to the sides of the slide, the negative image will be formed.
Because of its polarization sensitivity, this resolution target is ideal for calibrating and testing the resolution of our birefringence imaging system and microscopes, polarizing microscopes, microscopes with a Nomarski mode, polarization imaging systems, or Mueller Matrix polarimeters.
† D 263® is a registered trademark of Schott AG.
Part Number | Description | Price | Availability |
|---|---|---|---|
R3L1S1B | Birefringent 1951 USAF Test Target, 3" x 1" | $317.60 | Today |


| Optical Specifications | |||
|---|---|---|---|
| Item # | R3L3S1P | R3L3S1N | R3L3S1PR |
| Pattern | LRa Chrome | Clear | LRa Chrome |
| Background | Clear | LRa Chrome | Chrome |
| Surface Flatness | ≤15 µm | ≤15 µm | |
| Chrome Optical Densityb | ≥3.0 | - | |
| Chrome Reflectanceb | - | LRa Chrome: <10% Chrome: >40% |
|
Thorlabs offers positive and negative 3.00" x 3.00" (76.2 mm x 76.2 mm) resolution test targets that are made by plating low-reflectivity chrome on a soda lime glass substrate. These targets have 10 groups (-2 to +7) with 6 elements per group, offering a maximum resolution of 228.0 line pairs (one light line and one dark line) per millimeter. For more information on the 1951 USAF pattern, please see the Resolution Targets tab above.
Because these targets feature sets of three lines, they reduce the occurrence of spurious resolution and thus help prevent inaccurate resolution measurements. For more information on spurious resolution, please see the Resolution Targets tab.
Thorlabs offers the R3L3S1P positive target composed of a low-reflectivity chrome pattern etched on soda lime glass, useful for front-lit and general applications, with a clear soda lime substrate background for front-lit and general applications. Alternatively, the R3L3S1N negative target uses low-reflectivity chrome to cover the substrate, leaving the pattern itself clear, and works well in back-lit and highly illuminated applications. The R3L3S1PR positive reflective target is composed of a dark low-reflectivity chrome pattern on a chrome background; the high contrast between the pattern and the background makes this target ideal for reflective applications. See the Graphs tab for details.
Part Number | Description | Price | Availability |
|---|---|---|---|
R3L3S1P | Positive 1951 USAF Test Target, 3" x 3" | $298.53 | Today |
R3L3S1N | Negative 1951 USAF Test Target, 3" x 3" | $298.53 | Today |
R3L3S1PR | Positive Reflective 1951 USAF Test Target, 3" x 3" | $298.53 | Today |


| Optical Specifications | |
|---|---|
| Pattern | LRa Chrome |
| Background | Clear |
| Surface Flatness | ≤15 µm |
| Chrome Optical Densityb | ≥3.0 |
Thorlabs' 3.00" x 1.00" (76.2 mm x 25.4 mm) NBS 1952 Resolution Target offers 48 sets of lines with 24 different frequencies ranging from 2.4 to 80 line pairs (one light line and one dark line) per millimeter (lp/mm), as listed in Table G7.2. In the center of the NBS 1952 target is a crosshair with a length and width of 610 µm and two concentric circles with diameters of 250 µm and 500 µm. Because the line sets on this target are arranged such that every resolution can be viewed by traveling in only one direction (either horizontally or vertically) along the pattern, the resolution of an optical system can be determined with one pass. For more information about the NBS 1952 pattern, please see the Resolution Targets tab above.
Because this target features sets of three lines, it reduces the occurrence of spurious resolution and thus helps prevent inaccurate resolution measurements. For more information on spurious resolution, please see the Resolution Targets tab.
The pattern on this target is made from plating low-reflectivity, vacuum-sputtered chrome on a 0.06" (1.5 mm) thick soda lime glass substrate to achieve an optical density of ≥3.0 at 430 nm. The dark pattern and clear substrate are useful for front-lit and general applications.
| Table G7.2 NBS 1952 Pattern Resolutions | ||||||||||||||||||||||||
|---|---|---|---|---|---|---|---|---|---|---|---|---|---|---|---|---|---|---|---|---|---|---|---|---|
| Resolution (lp/mm) | 2.4 | 2.8 | 3.4 | 4.0 | 4.8 | 5.6 | 6.8 | 8.0 | 9.6 | 11.2 | 12 | 13.6 | 14 | 16 | 17 | 20 | 24 | 28 | 34 | 40 | 48 | 56 | 68 | 80 |
| Line Width (µm) | 208.3 | 176.8 | 147.1 | 125.0 | 104.2 | 89.3 | 73.5 | 62.5 | 52.1 | 44.6 | 41.7 | 36.8 | 35.7 | 31.3 | 29.4 | 25.0 | 20.8 | 17.9 | 14.7 | 12.5 | 10.4 | 8.9 | 7.4 | 6.3 |
Part Number | Description | Price | Availability |
|---|---|---|---|
R1L3S10P | Positive NBS 1952 Resolution Target, 3" x 1", 2.4 to 80 lp/mm | $143.38 | Today |


| Optical Specifications | |
|---|---|
| Pattern | LRa Chrome |
| Background | Clear |
| Surface Flatness | ≤15 µm |
| Chrome Optical Densityb | ≥3.0 |
Thorlabs' 3.00" x 3.00" (76.2 mm x 76.2 mm) NBS 1952 Resolution Target offers 48 sets of lines with 24 different frequencies ranging from 0.48 to 16 line pairs (one light line and one dark line) per millimeter (lp/mm), as listed in Table G8.2. In the center of the NBS 1952 target is a crosshair with a length and width of 3100 µm and two concentric circles with diameters of 1250 µm and 2500 µm. Because the line sets on this target are arranged such that every resolution can be viewed by traveling in only one direction (either horizontally or vertically) along the pattern, the resolution of an optical system can be determined with one pass. For more information about the NBS 1952 pattern, please see the Resolution Targets tab above.
Because this target features sets of three lines, it reduces the occurrence of spurious resolution and thus helps prevent inaccurate resolution measurements. For more information on spurious resolution, please see the Resolution Targets tab.
The pattern on this target is made from plating low-reflectivity, vacuum-sputtered chrome on a 0.06" (1.5 mm) thick soda lime glass substrate to achieve an optical density of ≥3.0 at 430 nm. The dark pattern and clear substrate are useful for front-lit and general applications.
| Table G8.2 NBS 1952 Pattern Resolutions | ||||||||||||||||||||||||
|---|---|---|---|---|---|---|---|---|---|---|---|---|---|---|---|---|---|---|---|---|---|---|---|---|
| Resolution (lp/mm) | 0.48 | 0.56 | 0.68 | 0.8 | 0.96 | 1.12 | 1.36 | 1.6 | 1.92 | 2.24 | 2.4 | 2.72 | 2.8 | 3.2 | 3.4 | 4.0 | 4.8 | 5.6 | 6.8 | 8.0 | 9.6 | 11.2 | 13.6 | 16 |
| Line Width (µm) | 1041.7 | 892.9 | 735.3 | 625 | 520.8 | 446.4 | 367.6 | 312.5 | 260.4 | 223.2 | 208.3 | 183.8 | 176.8 | 156.3 | 147.1 | 125.0 | 104.2 | 89.3 | 73.5 | 62.5 | 52.1 | 44.6 | 36.8 | 31.3 |
Part Number | Description | Price | Availability |
|---|---|---|---|
R3L3S6P | Positive NBS 1952 Resolution Target, 3" x 3", 0.48 to 16 lp/mm | $294.25 | Today |


|
|
| Optical Specifications | ||
|---|---|---|
| Item # | R2L2S1P | R2L2S1N |
| Pattern | LRa Chrome | Clear |
| Background | Clear | LRa Chrome |
| Surface Flatness | ≤15 µm | |
| Chrome Optical Densityb | ≥3.0 | |
Thorlabs' 2.00" x 2.00" (50.8 mm x 50.8 mm) NBS 1963A resolution test targets offer 26 line sets with frequencies from 1 to 18 cycles/mm, corresponding to cycle sizes from 1.0 mm to 55.6 µm (see Table G9.1 and the Resolution Targets tab for more information). Each set of lines on the pattern contains five horizontal and five vertical lines and is labeled with the frequency of the lines in cycles/mm, as shown in Figure G9.2. The resolution of an optical system can be determined by identifying the highest frequency line set that the system is able to resolve.
These resolution targets are offered in positive and negative versions. The R2L2S1P positive target consists of a low-reflectivity chrome pattern plated on to a clear substrate and is useful for front-lit and general applications. Alternatively, the R2L2S1N negative target uses the same low-reflectivity chrome to cover the substrate, leaving the pattern itself clear, and works well in back-lit and highly illuminated applications.
Part Number | Description | Price | Availability |
|---|---|---|---|
R2L2S1P | Positive NBS 1963A Resolution Target, 2" x 2", 1 to 18 cycles/mm | $272.85 | Today |
R2L2S1N | Negative NBS 1963A Resolution Target, 2" x 2", 1 to 18 cycles/mm | $272.85 | Today |



| Optical Specifications | ||
|---|---|---|
| Item # | R2L2S1P1 | R2L2S1N1 |
| Pattern | LRa Chrome | Clear |
| Background | Clear | LRa Chrome |
| Surface Flatness | ≤15 µm | |
| Chrome Optical Densityb | ≥3.0 | |
Thorlabs' 2.00" x 2.00" (50.8 mm x 50.8 mm) high-frequency NBS 1963A resolution test targets offer 48 line sets with frequencies from 1 to 228 cycles/mm, corresponding to cycle sizes from 1.0 mm to 4.4 µm (see Table G10.3 and the Resolution Targets tab for more information). Each set of lines on the pattern contains five horizontal and five vertical lines and is labeled with the frequency of the lines in cycles/mm, as shown in Figures G10.1 and G10.2. The resolution of an optical system can be determined by identifying the highest frequency line set that the system is able to resolve.
These resolution targets are offered in positive and negative versions. The R2L2S1P1 positive target consists of a low-reflectivity chrome pattern plated on to a clear substrate and is useful for front-lit and general applications. Alternatively, the R2L2S1N1 negative target uses the same low-reflectivity chrome coating to cover the substrate, leaving the pattern itself clear, and works well in back-lit and highly illuminated applications.
|
• |
Part Number | Description | Price | Availability |
|---|---|---|---|
R2L2S1P1 | Customer Inspired! Positive NBS 1963A Resolution Target, 2" x 2", 1 to 228 cycles/mm | $299.60 | In Stock Overseas |
R2L2S1N1 | Customer Inspired! Negative NBS 1963A Resolution Target, 2" x 2", 1 to 228 cycles/mm | $299.60 | Today |



| Optical Specifications | |
|---|---|
| Design | Liquid Crystal Polymer Between N-BK7 Substrate and N-BK7 Protective Glass |
| Substrate Thickness | 2.0 mm (0.08") |
| Protective Glass Thickness | 0.2 mm |
Thorlabs offers a birefringent 2.00" x 2.00" (50.8 mm x 50.8 mm) NBS 1963A resolution test target that is made by sandwiching a birefringent pattern between a glass substrate and protective glass, both made from N-BK7. The test pattern is only observable if the target is placed between a pair of crossed polarizers (see Figure G11.1).
The target is designed so that it can display both positive and negative patterns by adjusting the orientation of the crossed polarizers relative to the test target. If the cross polarizers are aligned with the sides of the glass covers, the positive image will be formed. If the cross polarizers are aligned at 45° to the sides of the glass covers, the negative image will be formed. Because of its polarization sensitivity, this resolution target is ideal for calibrating and testing the resolution of our birefringence imaging system and microscopes, polarizing microscopes, microscopes with a Nomarski mode, polarization imaging systems, or Mueller Matrix polarimeters.
This target has 26 sets of five horizontal and five vertical lines. Each set of lines is labeled with a number, which refers to the number of cycles per mm. With a maximum frequency of 18 cycles/mm, the smallest cycles are only 0.0556 mm. For more information, please see the Resolution Targets tab above. Since the pattern is only visible through crossed polarizers, the target is inscribed with two rectangles for reference. Figure G11.2 shows the pattern placement with respect to these inscribed rectangles.
|
|
Part Number | Description | Price | Availability |
|---|---|---|---|
R2L2S1B | Birefringent NBS 1963A Resolution Target, 2" x 2" | $388.95 | Today |


Thorlabs offers a Ø1.00" (25.4 mm) circular target with a sector star (also known as a Siemens star) pattern. The R1DS8N target consists of an OD3 low-reflectivity chrome coating covering a clear substrate. The target has 72 bars over 360°, with each pattern having an inner diameter of 1 mm and an outer diameter of 20 mm, with resolutions ranging from 1.15 lp/mm to 23 lp/mm. The target can be used to determine the resolution of an optical system by noting how close to the center of the pattern an optical system can resolve adjacent bars.
For more information about sector star patterns, please see the Resolution Targets tab. For more information about sector star patterns being used to calculate the MTF of an optical system, please see here.
| Item # | Pattern | Background | Surface Flatness |
Chrome Optical Density |
Pattern Outer Diameter |
Center Circle Diameter |
Number of Bars |
Resolution at Outer Diameter |
Resolution at Center Circle |
|---|---|---|---|---|---|---|---|---|---|
| R1DS8N | Clear | Low-Reflectivity Chrome |
≤15 µm | ≥3.0 at 430 nm | 20 mm | 1 mm | 72 Over 360° | 1.15 lp/mm | 23 lp/mm |
Part Number | Description | Price | Availability |
|---|---|---|---|
R1DS8N | NEW! Negative Sector Star Test Target, 1" Diameter, 72 Bars | $286.00 | In Stock Overseas |


Thorlabs offers four 1.00" (25.4 mm) square targets with sector star (also known as Siemens star) patterns. Two of the targets (Item #s R1L1S2P and R1L1S3P) have positive patterns, while the other two (Item #s R1L1S2N and R1L1S3N) have negative patterns.
The R1L1S2P and R1L1S2N targets have 36 bars over 360°, and the R1L1S3P and R1L1S3N targets have 72 bars over 360°. Each pattern has a 200 µm inner diameter and a 10 mm outer diameter. On the 36 bar targets, this provides resolutions from 1.2 lp/mm to 57.3 lp/mm, and on the 72 bar targets, resolutions from 2.3 lp/mm to 114.6 lp/mm. The targets can be used to determine the resolution of an optical system by noting how close to the center of the pattern an optical system can resolve adjacent bars. For more information about sector star patterns, please see the Resolution Targets tab. For more information about sector star patterns being used to calculate the MTF of an optical system, please see here.
| Item # | Pattern | Background | Surface Flatness |
Chrome Optical Density |
Pattern Outer Diameter |
Center Circle Diameter |
Number of Bars |
Resolution at Outer Diameter |
Resolution at Center Circle |
|---|---|---|---|---|---|---|---|---|---|
| R1L1S2P | Low-Reflectivity Chrome |
Clear | ≤15 µm | ≥3.0 at 430 nm | 10 mm | 200 µm | 36 Over 360° | 1.2 lp/mm | 57.3 lp/mm |
| R1L1S2N | Clear | Low-Reflectivity Chrome |
|||||||
| R1L1S3P | Low-Reflectivity Chrome |
Clear | 72 Over 360° | 2.3 lp/mm | 114.6 lp/mm | ||||
| R1L1S3N | Clear | Low-Reflectivity Chrome |
Part Number | Description | Price | Availability |
|---|---|---|---|
R1L1S2P | Customer Inspired! Positive Sector Star Test Target, 1" x 1", 36 Bars | $194.47 | Today |
R1L1S2N | Customer Inspired! Negative Sector Star Test Target, 1" x 1", 36 Bars | $194.47 | Today |
R1L1S3P | Customer Inspired! Positive Sector Star Test Target, 1" x 1", 72 Bars | $286.00 | Today |
R1L1S3N | Customer Inspired! Negative Sector Star Test Target, 1" x 1", 72 Bars | $286.00 | Today |


| Optical Specifications | |
|---|---|
| Pattern | Alternating Clear and LRa Chrome Lines |
| Background | Clear |
| Surface Flatness | ≤15 µm |
| Smallest Ronchi Ruling Line Width | 2.5 µm |
| Chrome Optical Densityb | ≥3.0 |
Thorlabs offers Ronchi ruling slant edge targets with resolutions ranging from 10 line pairs per millimeter (lp/mm) to 200 lp/mm, where a line pair is one dark line and one light line. These square wave, constant-interval bar and space patterns are available as positive and negative targets, where the positive target consists of a low-reflectivity, vacuum-sputtered chrome plated onto a clear 1.50" x 1.50" x 0.06" (38.1 mm x 38.1 mm x 1.5 mm) soda lime glass substrate, forming a 34.3 mm x 34.3 mm clear aperture. The positive targets consist of an OD3 low-reflectivity chrome pattern plated onto a clear soda lime glass substrate and are useful for front-lit applications. Alternatively, the negative targets use the same OD3 low-reflectivity chrome coating to cover the soda lime glass substrate, leaving the pattern itself clear, and work well in back-lit and highly illuminated applications.
Additionally, the slant edge pattern on the targets offers the capability of measuring the MTF of an optical system. For more detail on this usage of the targets, see here.
Part Number | Description | Price | Availability |
|---|---|---|---|
R2L2S2P1 | NEW! Positive Slant Edge MTF Target, 1.5" x 1.5" | $250.00 | In Stock Overseas |
R2L2S2N1 | NEW! Negative Slant Edge MTF Target, 1.5" x 1.5" | $250.00 | Today |


| Optical Specifications | |
|---|---|
| Pattern | Alternating Clear and LRa Chrome Lines |
| Background | Clear |
| Surface Flatness | ≤15 µm |
| Smallest Ronchi Ruling Line Width | 2.5 µm |
| Chrome Optical Densityb | ≥3.0 |
Thorlabs offers Ronchi ruling slant edge targets with resolutions ranging from 10 line pairs per millimeter (lp/mm) to 200 lp/mm, where a line pair is one dark line and one light line. These square wave, constant-interval bar and space patterns are available as positive and negative targets, where the positive target consists of a low-reflectivity, vacuum-sputtered chrome plated onto a clear 2.00" x 2.00" x 0.06" (50.8 mm x 50.8 mm x 1.5 mm) soda lime glass substrate, forming a 45.7 mm x 45.7 mm clear aperture. The positive targets consist of an OD3 low-reflectivity chrome pattern plated onto a clear soda lime glass substrate and are useful for front-lit applications. Alternatively, the negative targets use the same OD3 low-reflectivity chrome coating to cover the soda lime glass substrate, leaving the pattern itself clear, and work well in back-lit and highly illuminated applications.
Additionally, the slant edge pattern on the targets offers the capability of measuring the MTF of an optical system. For more detail on this usage of the targets, see here.
Part Number | Description | Price | Availability |
|---|---|---|---|
R2L2S2P | Customer Inspired! Positive Slant Edge MTF Target, 2" x 2" | $752.49 | Today |
R2L2S2N | NEW! Negative Slant Edge MTF Target, 2" x 2" | $753.00 | Today |


| Optical Specifications | |
|---|---|
| Pattern | Alternating Clear and LRa Chrome Lines |
| Border | LR Chrome |
| Surface Flatness | ≤15 µm |
| Chrome Optical Densityb | ≥3.0 |
Thorlabs offers Ronchi ruling targets with resolutions ranging from 0.5 line pairs per millimeter (lp/mm) to 500 lp/mm, where a line pair is one dark line and one light line. These square wave, constant-interval bar and space patterns are fabricated from the deposition of a dark low-reflectivity chrome pattern on a 3.00" x 1.00" x 0.06" (76.2 mm x 25.4 mm x 1.5 mm) soda lime glass substrate. This leaves a large 65 mm x 17 mm clear aperture and works well in back-lit and highly illuminated applications. The dimensions of the glass substrate are the same as a standard microscope slide. These Ronchi rulings are excellent for evaluating resolution, field distortion, and parfocal stability in optical systems.
Part Number | Description | Price | Availability |
|---|---|---|---|
R1L3S25N | Customer Inspired! Ronchi Ruling Test Target, 3" x 1", 0.5 lp/mm | $176.20 | Today |
R1L3S12N | Ronchi Ruling Test Target, 3" x 1", 10 lp/mm | $176.20 | In Stock Overseas |
R1L3S13N | Ronchi Ruling Test Target, 3" x 1", 20 lp/mm | $176.20 | Today |
R1L3S14N | Ronchi Ruling Test Target, 3" x 1", 40 lp/mm | $176.20 | Today |
R1L3S15N | Ronchi Ruling Test Target, 3" x 1", 80 lp/mm | $176.20 | Today |
R1L3S16N | Ronchi Ruling Test Target, 3" x 1", 100 lp/mm | $176.55 | Today |
R1L3S17N | Ronchi Ruling Test Target, 3" x 1", 150 lp/mm | $197.95 | Today |
R1L3S18N | Ronchi Ruling Test Target, 3" x 1", 200 lp/mm | $197.95 | Today |
R1L3S19N | Ronchi Ruling Test Target, 3" x 1", 250 lp/mm | $197.95 | Today |
R1L3S20N | Ronchi Ruling Test Target, 3" x 1", 300 lp/mm | $197.95 | Today |
R1L3S21N | Ronchi Ruling Test Target, 3" x 1", 350 lp/mm | $224.70 | Today |
R1L3S22N | Ronchi Ruling Test Target, 3" x 1", 400 lp/mm | $538.12 | Today |
R1L3S23N | Ronchi Ruling Test Target, 3" x 1", 450 lp/mm | $601.44 | Today |
R1L3S24N | Ronchi Ruling Test Target, 3" x 1", 500 lp/mm | $681.63 | Today |


| Optical Specifications | ||
|---|---|---|
| Item # | R1L3S6P | R1L3S6PR |
| Pattern | LRa Chrome | LRa Chrome |
| Background | Clear | Chrome |
| Surface Flatness | ≤15 µm | ≤15 µm |
| Chrome Optical Densityb | ≥3.0 | - |
| Chrome Reflectanceb | - | LRa Chrome: <10% Chrome: >40% |
Thorlabs offers two 3.00" x 1.00" positive variable line gratings with 18 sections of line grating with resolutions ranging from 1.25 line pairs (one light line and one dark line) per millimeter (lp/mm) to 250 lp/mm. Table G17.2 lists each of the available resolutions. The resolution of an optical system can be measured by determining the highest resolution grating with lines that the system is able to resolve.
Thorlabs offers the R1L3S6P positive target composed of a low-reflectivity chrome pattern etched on clear soda lime glass, useful for front-lit and general applications. The R1L3S6PR positive reflective target is composed of a dark low-reflectivity chrome pattern on a chrome background; the high contrast between the pattern and the background makes this target ideal for reflective applications. See the Graphs tab for details.
|
|
Part Number | Description | Price | Availability |
|---|---|---|---|
R1L3S6P | Customer Inspired! Positive Variable Line Grating Test Target, 3" x 1" | $583.44 | Today |
R1L3S6PR | Positive Reflective Variable Line Grating Test Target, 3" x 1" | $583.44 | Today |

These pattern slides each feature a series of circles or squares fabricated by plating low-reflectivity, vacuum-sputtered chrome with an optical density (OD) of ≥3.0 at 430 nm on a soda lime glass substrate. Slides with simple, regular patterns are used to determine the magnification of an imaging system and the relative size of imaged objects. The size of each shape is labeled as shown in Figures 816A and 816B.
Each rectangular slide has twelve shapes ranging in size from 2.5 µm to 10 mm, while each round slide has ten shapes ranging in size from 10 µm to 10 mm; see Table 816C for details. Positive and negative patterns are available and substrate sizes are 3.00" x 1.00" or Ø1.00".
| Table 816C Square or Circle Slide Specifications | |||||||
|---|---|---|---|---|---|---|---|
| Item # | Shape | Shape Sizes | Pattern | Background | Pattern Optical Density |
Transmitted Wavefront Error |
Substrate Size |
| R1L3S31P | Circle | 2.5, 5, 10, 25, 50, 100, 250, 500, 1000, 2500, 5000, 10 000 µm |
Low-Reflectivity Chrome |
Clear | ≥3.0 at 430 nm | <λ at 633 nm | 3.00" x 1.00" x 0.06" (76.2 mm x 25.4 mm x 1.5 mm) |
| R1L3S31N | Clear | Low-Reflectivity Chrome |
|||||
| R1L3S32P | Square | Low-Reflectivity Chrome |
Clear | ||||
| R1L3S31N | Clear | Low-Reflectivity Chrome |
|||||
| R1DS5P | Circle | 10, 25, 50, 100, 250, 500, 1000, 2500, 5000, 10 000 µm |
Low-Reflectivity Chrome |
Clear | Ø1.00" x 0.06" (Ø25.4 mm x 1.5 mm) |
||
| R1DS5N | Clear | Low-Reflectivity Chrome |
|||||
| R1DS6P | Square | Low-Reflectivity Chrome |
Clear | ||||
| R1DS6N | Clear | Low-Reflectivity Chrome |
|||||
Part Number | Description | Price | Availability |
|---|---|---|---|
R1L3S31P | NEW! Positive Circle Pixel Calibration Target, 3" x 1" | $310.00 | Today |
R1L3S31N | NEW! Negative Circle Pixel Calibration Target, 3" x 1" | $310.00 | Today |
R1L3S32P | NEW! Positive Square Pixel Calibration Target, 3" x 1" | $310.00 | In Stock Overseas |
R1L3S32N | NEW! Negative Square Pixel Calibration Target, 3" x 1" | $310.00 | Today |
R1DS5P | NEW! Positive Circle Pixel Calibration Target, Ø1" | $165.00 | Today |
R1DS5N | NEW! Negative Circle Pixel Calibration Target, Ø1" | $165.00 | Today |
R1DS6P | NEW! Positive Square Pixel Calibration Target, Ø1" | $165.00 | Today |
R1DS6N | NEW! Negative Square Pixel Calibration Target, Ø1" | $165.00 | Today |



| Table 483C Optical Specifications | |
|---|---|
| Pattern | LRa Chrome |
| Background | Clear |
| Surface Flatness | ≤15 µm |
| Chrome Optical Densityb | ≥3.0 |
Thorlabs' 3.00" x 3.00" (76.2 mm x 76.2 mm) Concentric Circles and Crosshairs Grid Target offers 289 individual grids, arranged in a larger, 2" x 2" grid of 17 rows and 17 columns. The smaller grids each have four concentric circle patterns and five crosshair patterns of varying sizes. The concentric circle and crosshair patterns on the smaller grids are labeled in Figure 483B but not on the target itself. Each concentric circle pattern features seven different radii, while the crosshairs each have a single or a double cross. For details on the dimensions of these patterns, see Tables 483D and 483E.
The pattern on this target is made from plating low-reflectivity, vacuum-sputtered chrome on a 0.06" (1.5 mm) thick soda lime glass substrate to achieve an optical density of ≥3 at 430 nm. The dark pattern and clear substrate are useful for front-lit and general applications.
| Table 483D Concentric Circles | |||||||
|---|---|---|---|---|---|---|---|
| Circle Patterna | R1 | R2 | R3 | R4 | R5 | R6 | R7 |
| A1 | 31.3 µm | 62.5 µm | 125 µm | 140.6 µm | 234.4 µm | 242.2 µm | 500 µm |
| A2 | 15.6 µm | 31.3 µm | 62.5 µm | 70.3 µm | 117.2 µm | 121.1 µm | 250 µm |
| A3 | 7.8 µm | 15.6 µm | 31.3 µm | 35.2 µm | 58.6 µm | 60.5 µm | 125 µm |
| A4 | 3.9 µm | 7.8 µm | 15.6 µm | 17.6 µm | 29.3 µm | 30.3 µm | 62.5 µm |
| Table 483E Crosshairs | |||
|---|---|---|---|
| Crosshair Patterna | Single or Double Line | Length/Width | Line Widthb |
| B1 | Double | 500 µm | 6.25 µm |
| B2 | Double | 500 µm | 12.5 µm |
| B3 | Single | 500 µm | 50 µm |
| B4 | Double | 500 µm | 25 µm |
| B5 | Double | 500 µm | 100 µm |
Part Number | Description | Price | Availability |
|---|---|---|---|
R3L3S5P | Positive Concentric Circles and Crosshairs Grid Target, 3" x 3" | $648.25 | Today |


| Optical Specifications | ||
|---|---|---|
| Item # | R1L1S1P | R1L1S1N |
| Pattern | LRa Chrome | Clear |
| Background | Clear | LRa Chrome |
| Surface Flatness | ≤15 µm | |
| Chrome Optical Densityb | ≥3.0 | |
Thorlabs offers positive and negative 18.0 mm x 18.0 mm x 1.5 mm combined resolution / distortion test targets that are made by low-reflectivity, vacuum-sputtered chrome with an optical density of ≥3 at 430 nm on a soda lime glass substrate. They are ideal for calibration of imaging systems and microscope stages.
The test targets include a 1951 USAF pattern (Groups 2 - 7), a sector star, concentric circles, grids (100 µm, 50 µm, and 10 µm), and Ronchi rulings (30 - 150 lp/mm). These targets are useful for testing resolution, field distortion, focus errors, and astigmatism. The 1951 USAF targets are useful for measuring imaging resolution. For more information, please see the Resolution Targets tab above. The grids can be used to measure image distortion, while the concentric circles are ideal for identifying focus errors, astigmatism, and other aberrations existing in an imaging system. The Ronchi rulings are excellent for evaluating resolution, field distortion, and parfocal stability.
These resolution targets are offered in positive and negative versions. The R1L1S1P positive target consists of a low-reflectivity chrome pattern plated on to a clear substrate and is useful for front-lit and general applications. Alternatively, the R1L1S1N negative target uses the same low-reflectivity chrome coating to cover the substrate, leaving the pattern itself clear, and works well in back-lit and highly illuminated applications.
| Target Feature | Details | Target Feature | Details |
|---|---|---|---|
| 1951 USAF Target | Groups 2 - 7 | Concentric Circles | 10 Circles with Radii from 100 µm to 1000 µm in 100 µm Intervals, Labeled 1 to 10 |
| Grids | 20 x 20 Arrays with 100 µm, 50 µm, and 10 µm Pitch | Ronchi Rulings | 13 Rulings from 30 lp/mma to 150 lp/mm in 10 lp/mm Intervals |
| Sector Star | 36 Bars through 360°, 10 µm Radius Center Circle, and Ten Concentric Circles with Radii from 50 µm to 500 µm in 50 µm Intervals | ||
Part Number | Description | Price | Availability |
|---|---|---|---|
R1L1S1P | Customer Inspired! Positive Combined Resolution and Distortion Test Target, 18 mm Square | $629.18 | In Stock Overseas |
R1L1S1N | Customer Inspired! Negative Combined Resolution and Distortion Test Target, 18 mm Square | $629.18 | Today |

|
|

| Optical Specifications | |
|---|---|
| Pattern | LRa Chrome |
| Background | Clear |
| Surface Flatness | ≤15 µm |
| Chrome Optical Densityb | ≥3.0 |
The R1L3S5P positive 3.00" x 1.00" x 0.06" (76.2 mm x 25.4 mm x 1.5 mm) combined resolution / distortion test targets that are made by vacuum-sputtering low-reflectivity chrome with an optical density of ≥3 at 430 nm on a soda lime glass substrate. They are ideal for calibration of imaging systems and microscope stages. They are sized to fit in our MLS203P2 stage slide holder for use with our MLS203 microscope stages.
The test targets include an NBS 1963A pattern, a sector (Siemens) star, concentric circles, grids, Ronchi rulings, and more (see Table 444B). These targets are useful for testing resolution, field distortion, focus errors, and astigmatism. The NBS 1963A, sector star, and concentric circle targets are useful for measuring imaging resolution. For more information, please see our Resolution Targets page. The grids can be used to measure the distortion introduced by an imaging system. The Ronchi rulings are excellent for evaluating resolution, field distortion, and parfocal stability.
| Table 444B Specifications | |||
|---|---|---|---|
| Target Feature | Details | Target Feature | Details |
| NBS 1963A | Frequencies from 4.5 cycles/mm to 228 cycles/mm (See List) | Concentric Circles | 10 Circles with Radii from 100 µm to 1000 µm in 100 µm Intervals |
| Distortion Grid (Squares) | 3 Grids: 100 lp/mma, 150 lp/mm, 200 lp/mm | Fixed Ronchi Rulings | 3 Rulings:100 lp/mm, 150 lp/mm, and 200 lp/mm |
| Distortion Grid (Dots) | 3 Grids: 400 µm Pitch of Ø80 µm Dots, 200 µm Pitch of Ø 40 µm Dots, 100 µm Pitch of Ø20 µm Dots |
Variable Ronchi Rulings | 20 Rulings (Each 1 mm x 1 mm): 10 lp/mm to 200 lp/mm in |
| Two-Point Resolution Dots | Ø25 µm, Ø20 µm, Ø15 µm, Ø12.5 µm, Ø10 µm, Ø7.5 µm, and Ø5 µm | Pinholes | Ø25 µm, Ø20 µm, Ø15 µm, Ø12.5 µm, Ø10 µm, Ø7.5 µm, and Ø5 µm |
| Interdigitated Lines | 6.25 lp/mm, 12.5 lp/mm, 25 lp/mm, 50 lp/mm, 100 lp/mm, |
Three Micrometers | 1 mm x 1 mm XY Scale with 50 µm Divisions 1 mm Scale with 10 µm Divisions 10 mm Scale with 50 µm Divisions |
| Sector Star | 36 Bars through 360°, 50 µm Radius Center Circle, and Ten Concentric Circles with Radii from 100 µm to 500 µm in 50 µm Intervals | ||
Part Number | Description | Price | Availability |
|---|---|---|---|
R1L3S5P | Customer Inspired! Positive Combined Resolution and Distortion Test Target, 3" x 1" | $1,166.84 | Today |